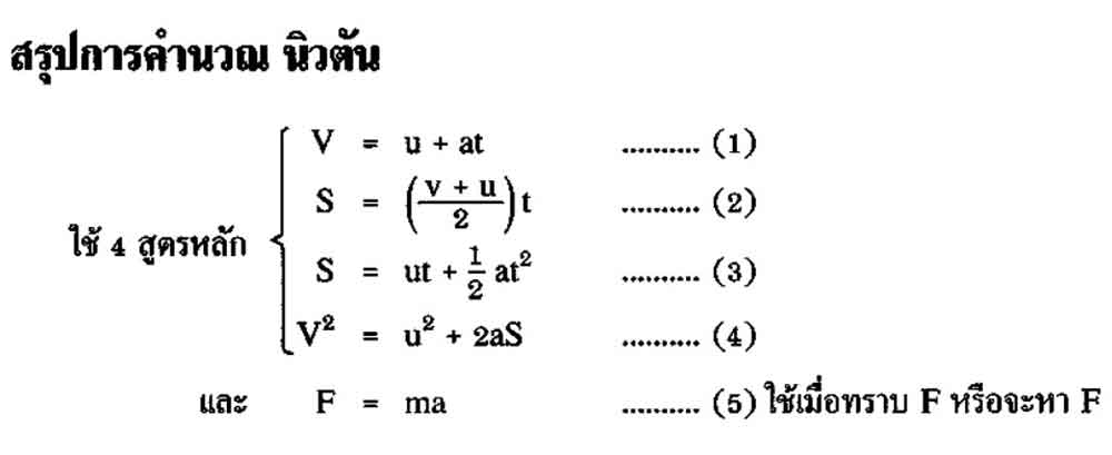
บทเรียนออนไลน์ วิชาฟิสิกส์ เรื่อง กฎการเคลื่อนที่ของนิวตัน

กฎการเคลื่อนที่ของนิวตัน มีทั้งหมด 3 ข้อ
กฎข้อ 1
“วัตถุจะรักษาสภาพการนิ่ง หรือสภาพเคลื่อนที่อย่างสม่ำเสมอเป็นเส้นตรง นอกจากจะมีแรงลัพธ์ที่มีค่ไม่เป็นศูนย์มากระทำ” หมายความว่า วัตถุใดอยู่ในสภาวะนิ่ง ก็จะอยู่ในภาวะนิ่งตลอดไป หรือวัตถุใดกำลังเคลื่อนที่ด้วยอัตราเร็วคงที่ในแนวเส้นตรง ก็จะเคลื่อนที่ต่อไปเช่นนั้น นอกจากจะมีแรงซึ่งไม่สมดุลมาทำต่อมัน วัตถุนั้นจึงจะเปลี่ยนจากเดิมไป (อาจเรียกว่า “กฎของความเฉื่อย“)
กฎข้อ 2
“ความเร่งของวัตถุเป็นปฏิภาคโดยตรง และมีทิศทางเดียวกันกับแรงลัพธ์ที่กระทำต่อวัตถุและเป็นปฏิภาดผกผันกับมวล” หมายความว่า

เมื่อรวมสมการ จากหลักการแปรผัน
(เมื่อ k เป็นค่าคงที่)
กฎข้อ 3
“ทุกแรงกริยาย่อมมีแรงปฏิกิริยา ซึ่งมีขนาดเท่ากัน และทิศตรงข้ามเสมอ” หมายความว่า
(ก) แรงกระทำและแรงปฏิกิริยาจะเกิดคู่กันเสมอ
(ข) แรงทั้งหมดนี้ ไม่หักล้างกัน เพราะกระทำกับวัตถุคนละมวลกัน เช่น เราทุบโต๊ะ
แรง action กระทำที่โต๊ะ แรง reaction กระทำที่มือ

บทความโดย
SENIOR EXECUTIVE MANAGING DIRECTOR


